Store Studio Observatory Library Geometry Center Info Center Store Studio Observatory Library Geometry Center Information
Center
Create your own Science Me home page!
Library Home Page
Find It!
Site Index

Browse By:
Browse by Subject
Browse by Content Type
 
  
Isometries: Toe the Line
previous contents next

Animating a triangle amounts to giving coordinates for its vertices at each frame of the animation. Although the idea behind this is simple, finding the right coordinates to give by trial and error just isn't practical. Therefore, what we really need is something a computer can do for itself. In other words, we need formulas.

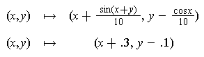
To compute the locations of verticies for animations, we require a special kind of formula, however, that takes in the coordinates of a point, and gives us back the coordinates of the new point. Such a formula is generically called a transformation. Here are two such formulas:

toe1.gif

Thus, for example, the second transformation maps the point (1,1) to the point (1.3, .9).

Once we are armed with formulas, our procedure for animating a triangle becomes fairly straightforward, from the point of view of a computer anyway. The procedure and the results of applying it with the two formulas given above are shown below:
  1. start with three points, e.g (0,0), (1,0) and (1,1)
  2. draw the triangle connecting the three points
  3. use a transformation formula to map each of the three points to three new points
  4. goto step 2 and repeat
  
No doubt, the first thing that leaps out at you about the first animation is that we aren't really moving the triangle so much as distorting it. By contrast, the second animation "toes the line" nicely, without any unruly distortion.

Next: Distortion free transformations in "Hendrix meets Euclid"



Info Center | Geometry Center | Library | Observatory | Studio | Store | Science Me

Page last updated Sat Oct 1 13:33:49 CDT 2005
Comments to webmaster@ScienceU.com


Copyright © Geometry Technologies 1999. All right reserved.