Store Studio Observatory Library Geometry Center Info Center Store Studio Observatory Library Geometry Center Information
Center
Create your own Science Me home page!
Library Home Page
Find It!
Site Index

Browse By:
Browse by Subject
Browse by Content Type
  
Isometry Formulas for the Euclidean Plane
 
Isometries are distance preserving transformations. Isometries of the Euclidean plane are mappings images/equation1.gif such that for any two points x and y,

images/equation2.gif

There are four families of isometries: translation, rotation, reflection and glide reflection.

Translation

Translation by a vector v = (p, q) is given as a vector equation by:

images/equation3.gif

and in coordinates by:

images/equation4.gif

Translations by no fixed points, and are orientation preserving.

Rotation

Translations is are best expressed by a matrix equation. Rotation around the origin through and angle images/equation5.gif is given by:

images/equation6.gif

Rotations about a point other than the origin are usually best handled as a composition of three transformations. Rotation around v through an angle images/equation7.gif can be expressed as:

images/equation8.gif

In coordinates, rotation around the origin is given by

images/equation9.gif

The coordinate formula for a rotation around a point v is left as an exercise in composition, though in practice, it is often easier to just do it it in three computational steps. Rotation has exactly one fixed point, and is orientation preserving.

Reflection

Reflection is also nicely represented in a vector equation. If m is a vector lying in the mirror line:

images/equation10.gif

where P is the projection operator. That is, you leave the part in the m direction alone, and reverse the part lying in the direction of the orthogonal to m.

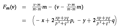
Since projection can be conveniently represented in coordinates, this simplifies in stages to a coordinate formula. If v = (x, y), and m = (p, q),

images/equation11.gif

Reflections through lines not passing through the origin are usually best treated as a composition of functions. If m is a direction vector for a line passing though w,

images/equation12.gif

Reflections have infinitely many fixed points, namely the entire mirror line, and they are orientation reversing.

Glide Reflections

Glide relfections are most naturally expressed as a composition of a translation along a line, followed by a reflection across this line. As a vector equation:

images/equation13.gif

Coordinate formulas are left to the reader. Glide reflections have no fixed points, and are orientation reversing.



Info Center | Geometry Center | Library | Observatory | Studio | Store | Science Me

Page last updated Fri May 23 12:43:35 CDT 2003
Comments to webmaster@ScienceU.com


Copyright © Geometry Technologies 1999. All right reserved.