Store Studio Observatory Library Geometry Center Info Center Store Studio Observatory Library Geometry Center Information
Center
Create your own Science Me home page!
Geometry Center
Interactive
Activities
Articles
Classroom
Facts and Figures
Find It!
 
  

Cartesian, Cylindrical, Sperical Coordinates




Cartesian index1.jpg & Cylindrical index2.jpg :

index3.jpg
index4.jpg
index5.jpg

index6.jpg
index7.jpg
index8.jpg

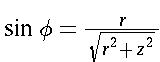
Cylindrical index9.jpg & Spherical index10.jpg :

index11.jpg
index12.jpg
index13.jpg

index14.jpg
index15.jpg
index16.jpg

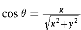
Cartesian index17.jpg & Spherical index18.jpg :

index19.jpg
index20.jpg
index21.jpg
index22.jpg

index23.jpg
index24.jpg
index25.jpg


Info Center | Geometry Center | Library | Observatory | Studio | Store | Science Me

Page last updated Sat Oct 1 13:45:19 CDT 2005
Comments to webmaster@ScienceU.com


Copyright © Geometry Technologies 1999. All right reserved.