Store Studio Observatory Library Geometry Center Info Center Store Studio Observatory Library Geometry Center Information
Center
Create your own Science Me home page!
Geometry Center
Interactive
Activities
Articles
Classroom
Facts and Figures
Find It!
 
  

Conics




General:
Eccentricity: index1.jpg , focus F, directrix d.
Ellipse: index2.jpg
Parabola: index3.jpg
Hyperbola: index4.jpg




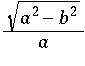
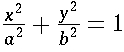
Ellipse:
Equation: index5.jpg
Vertices: index6.jpg and index7.jpg
Focus: index8.jpg
Directrix: index9.jpg
Eccentricity: index10.jpg




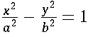
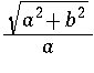
Hyperbola:
Equation: index11.jpg
Vertices: index12.jpg and index13.jpg
Focus: index14.jpg
Directrix: index15.jpg
Eccentricity: index16.jpg




Parabola:
Equation: index17.jpg
Focus: index18.jpg



Info Center | Geometry Center | Library | Observatory | Studio | Store | Science Me

Page last updated Sat Oct 1 13:45:19 CDT 2005
Comments to webmaster@ScienceU.com


Copyright © Geometry Technologies 1999. All right reserved.