Store Studio Observatory Library Geometry Center Info Center Store Studio Observatory Library Geometry Center Information
Center
Create your own Science Me home page!
Geometry Center
Interactive
Activities
Articles
Classroom
Facts and Figures
Find It!
 
  

Quadrilaterals



General:
index1.jpg

Parallelogram:
index2.jpg
index3.jpg
index4.jpg
index5.jpg
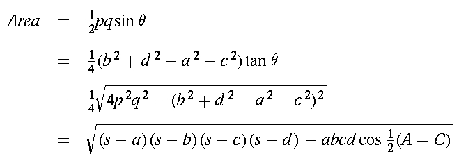
Area index6.jpg



Trapezoid:
index7.jpg
Area = index8.jpg


Info Center | Geometry Center | Library | Observatory | Studio | Store | Science Me

Page last updated Sat Oct 1 13:45:18 CDT 2005
Comments to webmaster@ScienceU.com


Copyright © Geometry Technologies 1999. All right reserved.