Store Studio Observatory Library Geometry Center Info Center Store Studio Observatory Library Geometry Center Information
Center
Create your own Science Me home page!
Geometry Center
Interactive
Activities
Articles
Classroom
Facts and Figures
Find It!
 
  

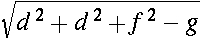
Spheres


General:
Equation: index1.jpg
Center: index2.jpg
Radius: index3.jpg

Equation: index4.jpg
Center: index5.jpg
Radius: index6.jpg

4 points not on the same plane: index7.jpg
Area: index8.jpg
Volume: index9.jpg


Left: spherical cap.
Middle: spherical zone of two bases.
Right: spherical segment and lune.

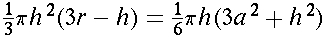
Spherical Cap:
Area: index10.jpg
Volume: index11.jpg

Spherical Zone:
Area: index12.jpg
Volume: index13.jpg

Spherical Segment and Lune:
Area: index14.jpg
Volume: index15.jpg


Info Center | Geometry Center | Library | Observatory | Studio | Store | Science Me

Page last updated Sat Oct 1 13:45:18 CDT 2005
Comments to webmaster@ScienceU.com


Copyright © Geometry Technologies 1999. All right reserved.