Store Studio Observatory Library Geometry Center Info Center Store Studio Observatory Library Geometry Center Information
Center
Create your own Science Me home page!
Geometry Center
Interactive
Activities
Articles
Classroom
Facts and Figures
Find It!
 
  

Cones



Top: cone with vertex O and directrix C.
Bottom Left: right circular cone.
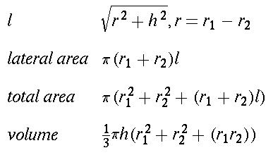
Bottom Right: frustrum of right circular cone.

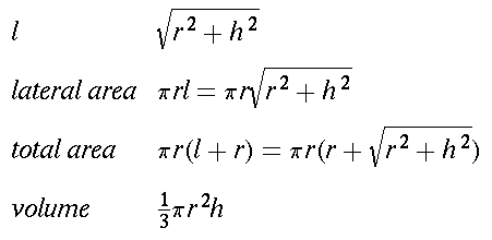
r = radius of base
h = altitude
l = length between vertex and a point on base circle

Right cicrular cone:

Equation: index1.jpg

index2.jpg

Frustrum of right circular cone:

Equation: index3.jpg

index4.jpg


Info Center | Geometry Center | Library | Observatory | Studio | Store | Science Me

Page last updated Sat Oct 1 13:45:18 CDT 2005
Comments to webmaster@ScienceU.com


Copyright © Geometry Technologies 1999. All right reserved.